{{!completeInfo?'请完善个人信息':''}}
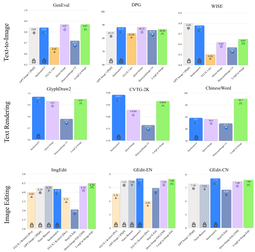
LongCat-Image在GenEval、DPG等基准上与20-80B模型打平甚至超越,证明轻量化架构+数据/训练优化可兼得性能与低成本。
摘要
GlyphDraw2得分0.95、CVTG-2K达0.8658,CLIPScore 90.7,字符准确率78.59%,首次在开源模型里解决复杂汉字乱码、缺笔、贴图感问题。
LongCat-Image-Edit在GEdit/CEdit-Bench结构一致性8.18、感知质量8.00,人类评测以60-63%胜率击败FLUX.1 Kontext Pro,实现“改局部、保全局”。
成品版开箱即用、开发版Checkpoint易微调、编辑版专精改图;同步放出训练代码与SFT/LoRA/DPO完整工具链,降低二次开发门槛。
消费级显卡可跑,推理成本大幅下降,为电商、广告、设计等中文场景提供可落地、可定制的AIGC新基座。
刚刚,美团开源6B参数图像模型LongCat-Image。

LongCat-Image 模型,以6B参数量的轻量化设计,在双语文本理解、图像逼真度以及复杂的指令编辑任务中,展示了令人印象深刻的性能。
在多项基准测试中超越更大规模模型,并提供了从推理到训练的全链路开源方案。
在开源社区中,常见的图像生成模型参数量往往在10B到80B之间,巨大的参数量虽然带来了丰富的语义理解能力,但也极大地推高了推理成本和部署门槛。
LongCat-Image选择了一条不同的路径,将参数量控制在6B。这一设计决策并非简单的减法,而是基于对模型架构的深度优化。

通过基准测试数据可以看到,LongCat-Image在GenEval(生成评估)和DPG(深度概率图)等指标上,以6B的体量与20B甚至80B的模型分庭抗礼。
在GenEval测试中,LongCat-Image取得了0.87的评分,这一成绩与20B参数的Qwen-Image(通义千问图像)持平,并优于12B参数的FLUX.1-dev(0.66)以及80B参数的HunyuanImage-3.0(混元图像3.0)。

这种跨量级的性能表现,揭示了高效模型设计的巨大潜力:通过优化训练策略和数据质量,小模型完全可以在特定领域达到甚至超越大模型的表现。
6B参数模型可以在更广泛的消费级显卡上运行,降低了从实验室走向生产环境的硬件门槛。
对于开发者而言,这意味着更快的迭代速度和更低的运营成本。
现有的许多主流开源模型在处理英文文本渲染时表现尚可,但在面对结构复杂、笔画繁多的中文字符时,往往会出现乱码、笔画缺失或结构崩坏的现象。
这一直是中文图像生成领域的痛点,也是制约文生图技术在国内电商、广告设计等领域落地的主要障碍。
LongCat-Image在中文文本渲染方面取得了显著突破。


数据显示,在GlyphDraw2(字形绘制)测试中,该模型获得了0.95的高分,优于Qwen-Image的0.93和HunyuanImage-3.0的0.78。

在CVTG-2K(中文文本生成)测试中,其得分0.8658同样表现优异。

更值得关注的是其在Acc(准确率)指标上的表现,达到了78.59%,且CLIPScore(CLIP评分)高达90.7。
CLIPScore反映了生成图像与文本描述的语义一致性,90.7的高分说明模型不仅写对了字,还将字完美地融合进了图像的整体风格中,没有出现生硬的拼贴感。
这种能力得益于行业领先的中文词典覆盖率以及针对性的训练框架,使得模型能够像理解物体形状一样,精准地理解和构建中文字符的拓扑结构。
在主观的人类评估(MOS)中,LongCat-Image在Realism(真实感)上得分为3.60,超越了HunyuanImage-3.0(3.50)和Seedream 4.0(3.54)。

这表明模型在追求文字准确性的同时,并未牺牲图像的整体质感和摄影写实度。
图像编辑的核心难点在于模型需要准确执行用户的编辑指令(如把猫换成狗),同时必须保持原图中背景、光影、风格等无关区域的绝对一致。
LongCat-Image-Edit是专门为此优化的编辑模型。


在衡量编辑能力的CEdit-Bench(中文编辑基准)和GEdit-Bench(通用编辑基准)测试中,该模型展现了卓越的视觉一致性。

以GEdit-Bench-EN(英文通用编辑)为例,LongCat-Image-Edit在G_SC(结构一致性)得分为8.18,G_PQ(感知质量)得分为8.00。
对比来看,FLUX.1 Kontext [Pro]在同项测试中的G_SC仅为7.02。用户在修改图像局部时,不会意外破坏图像的其他部分。
在与闭源模型和竞品的直接对比中,LongCat-Image-Edit也展现了极强的竞争力。

在人类评估的胜率对比中,LongCat-Image-Edit在综合质量上以60.5%对39.5%的比例战胜了FLUX.1 Kontext [Pro],在一致性上更是以63%对37%大幅领先。
LongCat-Image团队提供了一个完整的开源生态系统。
整个发布包含了三个核心版本:
LongCat-Image 是最终发布版,经过充分训练和调优,适合用户开箱即用,直接进行高质量的图像推理。
LongCat-Image-Dev 是开发版,本质上是一个训练中期的检查点(Checkpoint)。对于研究人员和开发者来说,这个版本极具价值,因为它保留了更多的可塑性,非常适合用于Fine-tuning(微调)以适应特定的垂直领域需求。
LongCat-Image-Edit 是专门针对图像编辑任务优化的专用模型。
除了模型权重,团队还开源了完整的训练代码工具链。
支持SFT(监督微调)、LoRA(低秩适应)、DPO(直接偏好优化)以及专门的编辑训练。
对于希望在本地部署高性能图像模型,或需要进行深度定制开发的团队来说,LongCat-Image提供了一个极具吸引力的选项。
原文链接:点击前往 >
文章作者:AIGC开放社区
版权申明:文章来源于AIGC开放社区。该文观点仅代表作者本人,扬帆出海平台仅提供信息存储空间服务,不代表扬帆出海官方立场。因本文所引起的纠纷和损失扬帆出海均不承担侵权行为的连带责任,如若转载请联系原文作者。 更多资讯关注扬帆出海官网:https://www.yfchuhai.com/
{{likeNum}}
好文章,需要你的鼓励
已关注
关注