{{!completeInfo?'请完善个人信息':''}}
6月4日,两名斯坦福大学生Aksh Garg和Siddharth Sharma,承认抄袭清华和面壁智能联合开发的MiniCPM-Llama3-V2.5(以下简称V2.5)多模态大模型事件,并在社交平台公开道歉、删掉开源项目。
6月4日,两名斯坦福大学生Aksh Garg和Siddharth Sharma,承认抄袭清华和面壁智能联合开发的MiniCPM-Llama3-V2.5(以下简称V2.5)多模态大模型事件,并在社交平台公开道歉、删掉开源项目。
该抄袭事件也得到了斯坦福大学AI实验室主任Christopher Manning的认证,表扬了国内大学、企业对开源大模型的贡献,并表示对该事件毫不知情。
V2.5开源地址:https://github.com/OpenBMB/MiniCPM-V?tab=readme-ov-file

两位同学发的道歉信一样
整个抄袭事件全过程
其实昨天这个事情在国内相当炸裂,登上了好几个平台的热搜榜首,「AIGC开放社区」就根据多方已经证实的内容,为大家梳理一下抄袭事件的全过程。
5月29日,斯坦福大学的AI团队宣称,他们开源了一款名叫Llama3-V的多模态模型(https://github.com/mustafaaljadery/llama3v已删除无法访问),只需要500美元就能训练出超过GPT-4V、GeminiUltra、ClaudeOpus等众多知名模型。
发布没多久,Llama3-V便成为Hugging Face上非常火热的一款开源产品。
6月2日,有开发者质疑Llama3-V抄袭国内清华和面壁智能联合开源的最新项目V2.5,主要抄袭的证据有以下几点。

1)特色功能一样:V2.5的特色功能之一是可以识别“清华简”,这是中国战国时期写在竹子上的一种非常特殊且罕见的中国古文字。
而Llama3-V居然也能识别。但这个训练数据是清华2500多张竹简中扫描下来的,并非是从公开训练数据中提取的。

2)Llama3-V的模型架构、代码、配置文件、分词器基本一样,只是增加了高斯噪声、变量名称不一样而已。

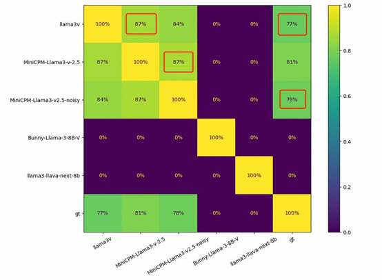
3)重叠度高达87%:为了验证是否抄袭,用户将V2.5与其他几个基于Llama3的多模态模型进行了比较,例如,Bunny-Llama-3-8B-V、Bunny-Llama-3-8B-V,模型的重叠率为0。但与Llama3-V进行比对时,重叠率居然高达87%。
此外,两者还有非常相似的误差分布。Llama3-V和V2.5分别做出了236个和194个错误预测,而重叠部分为182个。如果是原创模型根本不会有如此高的重叠度

4)犯的错误一样:用户将Llama3-V用于测试WebAgent时,居然与V2.5犯的错误一样。但V2.5使用的是内部从未公开过的训练数据,这也再一次证明Llama3-V的抄袭行为。

网上还罗列出了不少抄袭的证据,但上面4点是最致命的,基本都是同一架构、训练数据才能犯的错误Llama3-V居然全中了。
相当于两个人的脸型、眼睛、鼻子、嘴巴几乎一模一样,只是你的头发比我多一些,难道就不认我这个秃头兄弟了吗~
斯坦福AI实验室主任证实
起初这个抄袭事件并没有引起太大关注,但随着证据越来越多被实锤,就连斯坦福大学AI实验室主任Christopher Manning也下场道歉了,表示,犯了错误就要勇于承!
同时表扬了清华大学对开源项目的贡献,而他自己对该事件毫不知情。但是有人指出,这位教授在6月3日是知道该事件的。

两位学生迫于各界压力,昨天在社交平台进行了公开道歉,但是态度并不是很诚恳。首先,他们居然使用了同样的道歉信,难道不需要仔细说明一下你在这个项目的角色、最初想法以及为什么要这么做吗?

还有一个就是甩锅,两位公开道歉的学生表示,他们只是负责该模型的社区宣传,实际写代码的是一位叫Mustafa Aljadery的。

这就更严重了,既然你们只是负责宣传,那为啥在作者栏那里加上自己的名字呢?在宣发的时候难道不验证一下论文和项目吗?并且表示对V2.5这个开源项目毫不知情。
都是成年人,既然犯错了,就应该像个爷们一样勇敢承担起来,下次改过就可以了。如果试图继续掩盖,只会越描越黑。
这个抄袭事件也折射出了我国在AI芯片制裁的大背景下对大模型开发、训练的无奈,没有超强GPU集群支撑,只能从算法、脚骨、训练数据去打磨。
同时我们的大模型开源生态也被低估了,通义千问、面壁智能、百川智能等一大批优秀的开源项目已经获得了世界的认可并迅速崛起。

原文链接:点击前往 >
文章作者:AIGC开放社区
版权申明:文章来源于AIGC开放社区。该文观点仅代表作者本人,扬帆出海平台仅提供信息存储空间服务,不代表扬帆出海官方立场。因本文所引起的纠纷和损失扬帆出海均不承担侵权行为的连带责任,如若转载请联系原文作者。 更多资讯关注扬帆出海官网:https://www.yfchuhai.com/
{{likeNum}}
好文章,需要你的鼓励
已关注
关注